1.1. Настоящий Стандарт устанавливает:
1.1.1. стандарты определения справедливой стоимости активов акционерного инвестиционного фонда и паевого инвестиционного фонда;
1.1.2. критерии признания (прекращения признания) активов и обязательств акционерного инвестиционного фонда и паевого инвестиционного фонда;
1.1.3. порядок расчета величины резерва на выплату вознаграждения управляющей компании, специализированному депозитарию, аудиторской организации, оценщику акционерного инвестиционного фонда или паевого инвестиционного фонда, лицу, осуществляющему ведение реестра акционеров акционерного инвестиционного фонда, бирже и лицу, осуществляющему ведение реестра владельцев инвестиционных паев паевого инвестиционного фонда;
1.1.4. порядок корректировки стоимости для учета кредитного риска.
1.2. Настоящий Стандарт распространяется на все управляющие компании инвестиционных фондов, паевых инвестиционных фондов и негосударственных пенсионных фондов, являющиеся членами Национальной ассоциации участников фондового рынка (далее – НАУФОР).
1.3. В Стандарте используются термины, предусмотренные в Гражданском кодексе Российской Федерации (часть первая) от 30.11.1994 № 51-ФЗ, Федеральном законе от 22.04.1996 № 39-ФЗ «О рынке ценных бумаг» и в нормативных актах Банка России, а также следующие термины и определения: Активы – денежные средства, ценные бумаги и/или иное имущество, включая имущественные права;
Стоимость чистых активов (СЧА) – величина, определяемая в соответствии с законодательством Российской Федерации, как разница между стоимостью активов паевого инвестиционного фонда (далее - ПИФ) и величиной обязательств, подлежащих исполнению за счет указанных активов (далее – обязательства), на момент определения СЧА ПИФ.
Правила определения СЧА – внутренний документ управляющей компании, регламентирующий порядок определения стоимости чистых активов паевого инвестиционного фонда и стоимости инвестиционного пая;
Справедливая стоимость – это цена, которая была бы получена при продаже актива или уплачена при передаче обязательства в ходе обычной сделки на основном (или наиболее выгодном) рынке на дату оценки в текущих рыночных условиях (то есть цена выхода), независимо от того, является ли такая цена непосредственно наблюдаемой или рассчитывается с использованием другого метода оценки.
Российская биржа – российский организатор торговли на рынке ценных бумаг;
Иностранная биржа - иностранная фондовая биржа; Наблюдаемая и доступная биржевая площадка – торговая площадка российской и (или) иностранной биржи, закрепленная в Правилах определения СЧА, к которой у управляющей компании есть доступ, как напрямую, так и через финансовых посредников, и на которой управляющая компания имеет возможность распоряжаться активом (активами).
Активный рынок – рынок, на котором операции с активом или обязательством проводятся с достаточной частотой и в достаточном объеме, позволяющем получать информацию об оценках активов или обязательств на постоянной основе.
ПФИ – производный финансовый инструмент.
Уровень цены при определении справедливой стоимости - Уровни цен при определении справедливой стоимости определяются в соответствии с Международным стандартом финансовой отчетности (IFRS) 13 «Оценка справедливой стоимости», введенным в действие на территории Российской Федерации приказом Министерства финансов Российской Федерации от 28.12.2015 № 217н "О введении Международных стандартов финансовой отчетности и Разъяснений Международных стандартов финансовой отчетности в действие на территории Российской Федерации и о признании утратившими силу некоторых приказов (отдельных положений приказов) Министерства финансов Российской Федерации".
Основной рынок - рынок (из числа активных) с наибольшим для соответствующего актива или обязательства объемом торгов и уровнем активности. Объект аренды - актив, право на использование которого было предоставлено арендатору арендодателем.
1.4. Для целей определения справедливой стоимости ценных бумаг, составляющих активы акционерного инвестиционного фонда или имущество паевого инвестиционного фонда, используются модели оценки стоимости ценных бумаг, для которых определен активный рынок, и модели оценки стоимости ценных бумаг, для которых не определен активный рынок. В правилах определения СЧА должны быть однозначно определены критерии выбора активного рынка и основного рынка. Критерии, определяемые управляющей компанией в Правилах определения СЧА могут предусматривать более высокие требования, нежели предусмотрено в Стандарте.
1.5. Активным рынком для ценных бумаг, допущенных к торгам на российской или иностранной бирже, признается доступная и наблюдаемая биржевая площадка (российская или иностранная биржи из списка, установленного Правилами определения СЧА), в случае наличия цены и ненулевого объема торгов на дату определения справедливой стоимости (в случае, если на всех доступных и наблюдаемых биржевых площадках был неторговый день на дату определения СЧА – анализируются данные последнего торгового дня на данных площадках) и соответствия одновременно следующим критериям на дату определения СЧА, значение которых должно быть определено в Правилах расчета СЧА каждой управляющей компании:
1.6. Количество сделок за последние 10 торговых дней - 10 и более
1.7. Совокупный объем сделок за последние 10 торговых дней превысил 500 000 рублей.
1.8. Критерий о количестве сделок применяется в случае, если на всех доступных наблюдаемых рынках, на которых торгуется ценная бумага, в доступных источниках информации есть данные о количестве сделок. В отсутствие критерия о количестве сделок хотя бы на одном доступном наблюдаемом рынке для определения активного рынка применяется только критерий совокупного объема сделок за последние 10 торговых дней, который должен превышать 3 000 000 рублей.
1.9. В случае, если ценная бумага торгуется на российской бирже в основном режиме торгов с расчетами в рублях и в иностранной валюте и такие режимы торгов доступны для совершения сделок за счет имущества ПИФ, совокупный объем сделок определяется по общему объему торгов с расчетами в рублях и в иностранной валюте.
1.10. В том случае, если объем торгов выражен в иностранной валюте, для целей определения соответствия критериям активного рынка совокупный объем торгов за 10 торговых дней переводится в рубли по курсу Банка России на дату определения СЧА.
1.11. Управляющая компания вправе установить иные критерии по активности рынка, превышающие вышеуказанные требования к объёму и количеству сделок, а также вводящие дополнительные параметры для определения активного рынка.
1.12. Определение активного рынка осуществляется с учетом того, что возможность использования данных последнего торгового дня на торговых площадках не применяется в случае, когда неторговый день (или отсутствие торгов на фондовом рынке) связан с приостановкой торгов по решению Банка России, приостановкой торгов в случае достижения установленных биржей пороговых значений или иными событиями (согласно мотивированному суждению управляющей компании), способными существенно повлиять на изменение справедливой стоимости в такой неторговый день по сравнению с последним торговым днем. В случае, если возникшие обстоятельства приводят к затруднению (невозможности) определения справедливой стоимости активов, управляющая компания обязана приостановить выдачу, погашение и обмен инвестиционных паев паевого инвестиционного фонда по причинам, не зависящим от управляющей компании, безотносительно типа паевого инвестиционного фонда и независимо от фактического проведения процедур по выдаче, погашению и обмену инвестиционных паев в момент возникновения обязанности по приостановлению.
1.13. Основным рынком для ценных бумаг российских эмитентов (за исключением облигаций внешних облигационных займов Российской Федерации и ценных бумаг международных компаний) признается:
1.13.1. Московская биржа, если Московская биржа является активным рынком.
1.13.2. В случае, если Московская биржа не является активным рынком, – российская биржевая площадка из числа активных рынков, по которой определен наибольший общий объем сделок по количеству ценных бумаг за последние ___ торговых дней ______________ (определяется в Правилах расчета СЧА).
1.13.3. При отсутствии информации об объеме сделок по количеству ценных бумаг используется информация об объеме сделок в денежном выражении. При равенстве объема сделок на различных торговых площадках основным рынком считается торговая площадка с наибольшим количеством сделок за данный период.
1.14. Основным рынком для ценных бумаг иностранных эмитентов, в том числе для облигаций внешних облигационных займов Российской Федерации, долговых ценных бумаг иностранных государств, еврооблигаций иностранных эмитентов, ценных бумаг международных финансовых организаций, ценных бумаг международных компаний, допущенных к торгам на организованных торговых площадках, признается:
1.14.1. иностранная биржа или российская биржа из числа активных рынков, по которой определен наибольший общий объем сделок по количеству ценных бумаг за последние ___ торговых дней _____________ (определяется в Правилах расчета СЧА).
1.14.2. При отсутствии информации об объеме сделок по количеству ценных бумаг используется информация об объеме сделок в денежном выражении за последние ___ торговых дней. При этом величины объема сделок в валюте котировки переводятся в рубли по курсу Банка России на дату определения СЧА. При равенстве объема сделок на различных торговых площадках основным рынком считается торговая площадка с наибольшим количеством сделок за последние ___ торговых дней.
1.14.3. Для облигаций внешних облигационных займов Российской Федерации, долговых ценных бумаг иностранных государств, еврооблигаций иностранных эмитентов, ценных бумаг международных финансовых организаций, не допущенных к торгам на биржевых площадках, доступных управляющей компании, основным рынком признается внебиржевой рынок. Правилами определения СЧА может быть предусмотрен иной вариант определения основного рынка для указанных ценных бумаг по согласованию со специализированным депозитарием.
1.15. Правила определения СЧА паевых инвестиционных фондов, в состав которых не входят ценные бумаги, могут не содержать порядок определения активного рынка и основного рынка, а также методы оценки ценных бумаг и критерии их признания и прекращения признания.
Глава 2. СТАНДАРТЫ ОПРЕДЕЛЕНИЯ СПРАВЕДЛИВОЙ СТОИМОСТИ АКТИВОВ И ОБЯЗАТЕЛЬСТВ.
2.1. Стоимость активов и величина обязательств определяются по справедливой стоимости в соответствии с Международным стандартом финансовой отчетности (IFRS) 13 «Оценка справедливой стоимости», введенным в действие на территории Российской Федерации приказом Министерства финансов Российской Федерации от 28.12.2015 № 217н «О введении Международных стандартов финансовой отчетности и Разъяснений Международных стандартов финансовой отчетности в действие на территории Российской Федерации и о признании утратившими силу некоторых приказов (отдельных положений приказов) Министерства финансов Российской Федерации». В предусмотренных Указанием случаях допускается оценка отдельных активов по амортизированной стоимости в соответствии с Международным стандартом финансовой отчетности (IFRS) 9 «Финансовые инструменты», введенным в действие на территории Российской Федерации в редакции 2014 года Приказом Минфина России от 27.06.2016 № 98н «О введении документов Международных стандартов финансовой отчетности в действие на территории Российской Федерации и о признании утратившими силу некоторых приказов Министерства финансов Российской Федерации».
2.2. Допустимые методы определения справедливой стоимости ценных бумаг.
2.2.1 Методы оценки ценных бумаг установлены в Приложении № 1.
2.2.2 Справедливая стоимость ценной бумаги эмитента (в том числе находящегося в состоянии банкротства) корректируется в соответствии с порядком корректировки справедливой стоимости (п. 2.11. Стандарта).
2.2.3. Справедливая стоимость задолженности по сделкам с ценными бумагами, заключенным на условиях Т+, определяется в размере разницы между выраженной в валюте определения СЧА ПИФ справедливой стоимостью ценных бумаг, являющихся предметом сделки, и суммой сделки в валюте сделки, приведенной к валюте определения СЧА ПИФ по курсу валюты, установленному в Правилах определения СЧА.
В случае положительной разницы, сделка признается в составе активов (дебиторская задолженность) у покупателя/ в составе обязательств (кредиторская задолженность) у продавца, отрицательной разницы - в составе обязательств (кредиторская задолженность) у покупателя/в составе активов (дебиторская задолженность) у продавца. При определении справедливой стоимости задолженности по сделкам с облигациями, заключенным на условиях Т+, справедливая стоимость облигаций (пакета облигаций) определяется как произведение цены облигации, используемой согласно Модели оценки стоимости ценных бумаг, увеличенной на размер купона, порядок определения которого для учета в сделках Т+ определяется в Правилах определения СЧА, по сделке в соответствии с условиями сделки или правилами организатора торгов, и количества ценных бумаг, являющихся предметом сделки. Справедливая стоимость дебиторской задолженности, возникшей в результате совершения сделок с ценными бумагами, заключенных на условиях Т+ (за исключением биржевых операций в режиме безадресных торгов), корректируется в соответствии с порядком корректировки справедливой стоимости дебиторской задолженности (п. 2.11 Стандарта).
2.2.4. Справедливая стоимость задолженности по сделкам с валютой, заключенным на условиях Т+, определяется в размере разницы между текущей справедливой стоимостью валюты, являющейся предметом сделки, выраженной в валюте определения СЧА ПИФ, и стоимостью валюты, зафиксированной в договоре на дату исполнения сделки, выраженной в валюте определения СЧА ПИФ по курсу валюты, установленному в Правилах определения СЧА. В случае положительной разницы, сделка признается в составе активов (дебиторская задолженность) у покупателя/в составе обязательств (кредиторская задолженность) у продавца, отрицательной разницы - в составе обязательств (кредиторская задолженность) у покупателя/в составе активов (дебиторская задолженность) у продавца. Справедливая стоимость дебиторской задолженности, возникшей в результате совершения сделок с валютой, заключенных на условиях Т+, корректируется в соответствии с порядком корректировки справедливой стоимости дебиторской задолженности (п. 2.11 Стандарта). Положения данного пункта могут не применяться к биржевым и внебиржевым сделкам с валютой, в которых предусмотрены стандартные условия расчетов, используемые участниками рынка в отношении сделок "спот" для соответствующих валютных пар на валютном рынке Московской биржи.
2.2.5. Текущая справедливая стоимость ценных бумаг может определяться также на основе иных моделей (алгоритмов), в том числе построенных на основе мотивированного суждения управляющей компании, порядок формирования которого должен содержаться Правилах определения СЧА, согласованных со специализированным депозитарием паевого инвестиционного фонда.
2.2.6. В случае использования управляющей компанией иных методов определения справедливой стоимости ценных бумаг, помимо установленных в настоящем Стандарте и в Приложениях к настоящему Стандарту, управляющая компания должна согласовать их со специализированным депозитарием и уведомить об этом НАУФОР не позднее 10 (десяти) дней с даты согласования Правил определения СЧА со специализированным депозитарием.
2.3. Допустимые методы оценки дебиторской задолженности.
2.3.1. Справедливая стоимость дебиторской задолженности по процентному (купонному) доходу по долговым ценным бумагам определяется в размере, определенном на дату наступления срока исполнения соответствующего обязательства (дату истечения купонного периода) в соответствии с условиями выпуска ценной бумаги, и исходя из количества ценных бумаг на дату наступления указанного срока с указанной даты до наступления наиболее ранней из дат:
1) фактического исполнения эмитентом обязательства;
2) истечения __________ дневного срока с даты наступления срока исполнения обязательства российским эмитентом, ______________ дневного срока с даты наступления срока исполнения обязательства иностранным эмитентом (сроки определяются в Правилах определения СЧА, в соответствии с приложением № 6 к настоящему Стандарту).
Классификация такой дебиторской задолженности и подход к оценке по истечении срока оценки по номиналу устанавливаются в Правилах определения СЧА в соответствии с Приложением №5 к настоящему Стандарту.
2.3.2. Справедливая стоимость дебиторской задолженности по частичному/полному погашению эмитентом основного долга по долговым ценным бумагам определяется в размере, определенном на дату наступления срока исполнения соответствующего обязательства в соответствии с условиями выпуска ценной бумаги, исходя из количества ценных бумаг на дату наступления указанного срока - с указанной даты до наступления наиболее ранней из дат:
1) фактического исполнения эмитентом обязательства;
2) истечения _______________ дневного срока с даты наступления срока исполнения обязательства российским эмитентом, ________________ дневного срока с даты наступления срока исполнения обязательства иностранным эмитентом (сроки определяются в Правилах расчета СЧА, в соответствии с приложением № 6 к настоящему Стандарту).
Классификация такой дебиторской задолженности и подход к оценке по истечении срока оценки по номиналу устанавливаются в Правилах определения СЧА в соответствии с Приложением №5 к настоящему Стандарту.
2.3.3. Справедливая стоимость дебиторской задолженности по выплате дивидендов по акциям, дохода по депозитарным распискам, паям паевых инвестиционных фондов и паям (акциям) иностранных инвестиционных фондов определяется исходя из: количества акций/депозитарных расписок/паев паевых инвестиционных фондов/ паев (акций) иностранных инвестиционных фондов, учтенных на счете депо ПИФ на дату, на которую определяются лица, имеющие право на получение дивиденда (дохода) и объявленного размера дивиденда (дохода), приходящегося на одну акцию (депозитарную расписку, пай паевого инвестиционного фонда или пай (акцию) иностранного инвестиционного фонда) соответствующей категории (типа) за вычетом налогов и сборов в случае, если это применимо.
Классификация такой дебиторской задолженности и подход к оценке устанавливаются в Правилах определения СЧА в соответствии с Приложениями №5 и №6 к настоящему Стандарту.
2.3.4. Справедливая стоимость прочей дебиторской задолженности определяется:
1) в сумме остатка задолженности на дату определения СЧА в отношении операционной дебиторской задолженности в течение установленного срока в соответствии с Приложением № 6 к настоящему Стандарту;
2) в сумме, определенной в соответствии с Приложением №5 к настоящему Стандарту), в иных случаях.
Если в результате совершения сделок с имуществом ПИФ возникает дебиторская задолженность и согласно условиям сделки не определена конкретная дата ее погашения, но указан предельный срок, в течение которого такая задолженность должна быть погашена, то для определения справедливой стоимости срок погашения такой задолженности принимается максимальным в отсутствие обоснованного экспертного (мотивированного) суждения управляющей копании об иных сроках погашения такой дебиторской задолженности.
Если условия сделки не содержат конкретной даты погашения дебиторской задолженности и отсутствует предельный срок погашения, то для целей определения справедливой стоимости такой срок может быть установлен на основании обоснованного экспертного (мотивированного) суждения управляющей компании. Справедливая стоимость дебиторской задолженности, возникшей в результате совершения сделок с имуществом ПИФ, определяется в соответствии с порядком корректировки справедливой стоимости согласно п.2.11. Если точная величина дебиторской задолженности по договору не может быть надежно определена на дату определения СЧА, то используются способы аппроксимации величин, при возможности их применения к определенному виду дебиторской задолженности. Способы аппроксимации должны быть указаны в Правилах определения СЧА.
2.4. Допустимые методы оценки требований из кредитных договоров и договоров займа.
Справедливая стоимость активов в течение максимального срока, предусмотренного договором, определяется в соответствии с Приложением 5 к настоящему Стандарту. Просрочка исполнения обязательств до 5 рабочих дней может не считаться событием обесценения в отсутствие иных признаков обесценения/дефолта контрагента. Если договор не содержит конкретной даты погашения, такая дата определяется на основании экспертного (мотивированного) суждения управляющей компании, которое должно содержать обоснованный вывод о сроке возврата ссуды, основанный в том числе на собственной практике работы с аналогичными заемщиками и (или) общей рыночной практике погашения аналогичных ссуд и иных данных. В случае внесения изменения в условия определения срока договора максимальный срок определяется в соответствии с изменённым сроком кредита (займа), действующим на дату определения СЧА, причем накопление срока кредита (займа) не происходит.
2.5. Допустимые методы оценки справедливой стоимости денежных средств на расчетных счетах (включая соглашения о минимальном неснижаемом остатке), брокерских счетах и денежных средств, размещенных во вкладах в кредитных организациях по договорам банковского вклада (далее – депозит).
Справедливая стоимость денежных средств на счетах, в том числе на транзитных, валютных счетах, открытых на имя управляющей компании Д.У. ПИФ, определяется в сумме остатка на счетах. Справедливая стоимость денежных средств, находящихся у брокера (дебиторской задолженности брокера по возврату денежных средств, находящихся на специальном брокерском счете) определяется в сумме остатка на специальном брокерском счете брокера. В случае, если заключено соглашение с банком о минимальном неснижаемом остатке денежных средств на расчетном счете, справедливая стоимость процентного дохода по денежным средствам - признается равной сумме начисленных процентов, исходя из ставки, предусмотренной таким соглашением в составе дебиторской задолженности в случае, если условия начисления процентов позволяют рассчитать их размер. В случае, если на остаток денежных средств на расчетном счете банком начисляются проценты, при этом ограничений на использование денежных средств не накладывается, такие проценты признаются в момент их зачисления банком на расчетный счет. Справедливая стоимость депозитов в течение максимального срока, предусмотренного договором, определяется:
1) в сумме остатка денежных средств во вкладе, увеличенного на сумму процентов, рассчитанных на дату определения СЧА по ставке, предусмотренной договором, если срок погашения депозита «до востребования»;
2) в сумме остатка денежных средств во вкладе, увеличенного на сумму процентов, рассчитанных на дату определения СЧА по ставке, предусмотренной договором для удержания денежных средств во вкладе в течение максимального срока (включая депозиты, дата погашения которых приходится на другой отчетный год), предусмотренного договором, если срок погашения вклада _________________ (определяется в Правилах определения СЧА) и ставка по договору соответствует рыночной на дату определения справедливой стоимости (Порядок определения рыночной ставки и порядок определения величины допустимого отклонения от рыночной ставки устанавливается в Правилах определения СЧА по согласованию со специализированным депозитарием);
3) в сумме, определенной с использованием метода приведенной стоимости будущих денежных потоков в соответствии с Приложением №2 - в иных случаях.
В случае внесения изменения в условия определения срока договора, максимальный срок определяется в соответствии с изменённым сроком депозита, действующим на дату определения СЧА без суммирования сроков депозита. Справедливая стоимость денежных средств на счетах, депозитах, обязательств кредитной организации/брокера корректируется в соответствии с порядком, указанным в п.2.11.
2.6. Справедливая стоимость драгоценных и иных металлов и требований к кредитной организации выплатить денежный эквивалент драгоценных металлов определяется по ценам спотового рынка драгметаллов Московской биржи (цена закрытия GLD/RUB_TOD или GLD/RUB_TOM для золота; цена закрытия SLV/RUB_TOD или SLV/RUB_TOM для серебра) исходя из принадлежащей фонду массы драгоценных металлов или объема требований к кредитной организации выплатить денежный эквивалент драгоценных металлов. При отсутствии биржевых цен на дату определения СЧА (в том числе в случае, если драгоценный металл не торгуется на Московской бирже) стоимость драгоценных металлов и требований к кредитной организации выплатить денежный эквивалент драгоценных металлов рассчитывается на дату определения СЧА по учетным ценам на аффинированные драгоценные металлы Банка России (в дни, когда учетные цены на драгоценные металлы не устанавливаются, действуют предыдущие значения учетных цен). Правилами определения СЧА могут быть предусмотрены иные методы оценки драгоценных металлов в отсутствие указанных выше цен. Справедливая стоимость требований к кредитной организации выплатить денежный эквивалент драгоценных металлов корректируется в соответствии с порядком, указанным в п.2.11.
2.7. Справедливая стоимость прав и обязательств по договору аренды, арендатором по которому является УК Д.У. ПИФ.
2.7.1. Классификация договоров аренды и определение срока аренды.
2.7.1.1. Классификация договоров аренды. В целях применения критериев признания и выбора методов оценки договоры аренды классифицируются в качестве:
- краткосрочной аренды;
- аренды, в которой объект аренды имеет низкую стоимость;
- прочих договоров аренды.
Договор аренды, по которому арендатором является УК Д.У. ПИФ, классифицируется в качестве краткосрочной аренды, если на дату начала аренды (на дату классификации договора аренды) срок аренды определенный в соответствии с подпунктом 2.7.1.2 составляет не более 12 месяцев. Договор аренды, который содержит опцион на покупку объекта аренды, не является краткосрочной арендой. Договор аренды, по которому арендатором является УК Д.У. ПИФ, классифицируется в качестве аренды, в которой объект аренды имеет низкую стоимость, если справедливая стоимость объекта аренды в новом состоянии не превышает 300 000 рублей. Арендатор должен оценивать стоимость объекта аренды на основе стоимости актива, как если бы он был новым, вне зависимости от возраста актива. Объект аренды может иметь низкую стоимость только в том случае, если:
а) арендатор (УК Д.У. ПИФ) может получить выгоду от использования объекта аренды либо в отдельности, либо вместе с другими ресурсами, к которым у арендатора имеется свободный доступ; и
б) объект аренды не находится в сильной зависимости от других активов или в тесной взаимосвязи с ними. Указанные условия анализируются управляющей компанией и подтверждаются мотивированным суждением. Справедливая стоимость объекта аренды определяется в соответствии с установленными Правилами определения СЧА методами оценки справедливой стоимости для соответствующих активов. Если арендатор (УК Д.У. ПИФ) предоставляет актив в субаренду, главный договор аренды не удовлетворяет критериям классификации в качестве аренды актива с низкой стоимостью. Договор аренды, арендатором по которому является УК Д.У. ПИФ, классифицируется в следующих ситуациях:
А) в случае заключения договора аренды – в наиболее раннюю из дат:
- в дату передачи УК Д.У. ПИФ объекта аренды по акту приема-передачи;
- в дату государственной регистрации договора аренды, если в соответствии с законодательством Российской Федерации договор аренды подлежит государственной регистрации;
В) в случае возникновения (передачи) права аренды по иным основаниям, включая уступку прав по договору аренды – в дату возникновения (передачи) права аренды;
Г) в случае добавления права пользования по действующему договору аренды одним или несколькими объектами аренды за отдельную арендную плату (в этом случае полученное право пользования рассматривается как отдельный договор аренды):
- если договор аренды подлежит государственной регистрации и объект аренды находится в государственной или муниципальной собственности – в наиболее раннюю из дат: в дату вступления в силу соответствующего соглашения (дополнительного соглашения); либо в дату передачи УК Д.У. ПИФ объекта аренды по акту приема-передачи;
- иначе – в дату передачи УК Д.У. ПИФ объекта аренды по акту приема-передачи;
- в случае внесения изменений в условия договора аренды – в наиболее раннюю из дат: в дату заключения соответствующего соглашения (дополнительного соглашения или иной сделки, изменяющей правоотношения сторон по договору аренды); либо в дату, на которую распространяется действие соответствующего соглашения (дополнительного соглашения или иной сделки, изменяющей правоотношения сторон по договору аренды);
- в случае изменения срока аренды без внесения изменений в условия договора аренды – в дату изменения срока аренды согласно условиям договора.
2.7.1.2. Определение срока аренды. Cрок аренды определяется исходя из реального срока аренды с учетом возможной пролонгации. Если на дату классификации договора аренды управляющая компания обладает достаточной уверенностью в том, что реальный срок аренды будет превышать 12 месяцев, независимо от даты окончания срока аренды по договору, такой договор аренды не может быть классифицирован в качестве краткосрочной аренды. В случае если в соответствии с условиями договора аренды невозможно определить предельный срок аренды, а также в случаях, когда реальный срок аренды с учетом возможной пролонгации превышает срок аренды по договору, в целях классификации договора аренды срок аренды устанавливается на основании обоснованного экспертного (мотивированного) суждения управляющей компании. При этом срок не должен превышать срок действия Правил доверительного управления ПИФ.
Срок аренды определенный в соответствии с настоящим подпунктом применяется, в том числе в целях расчета приведенной стоимости в соответствии с пунктом 2.7.3. 2.7.2. Критерии признания, прекращения признания, методика оценки краткосрочной аренды и аренды, в которой объект аренды имеет низкую стоимость. Критерии признания (прекращения признания) и методика оценки справедливой стоимости, установленные настоящим пунктом, применяются также к обязательствам по уплате арендной платы по прочим договорам аренды, если в соответствии с пунктом 2.7.3 к обязательствам по уплате арендной платы по прочим договорам аренды применяются положения пункта 2.7.2. В целях описания методики оценки справедливой стоимости и критериев признания (прекращения признания) под расчетным периодом понимается период времени, за который фактически вносятся арендные платежи по постоянной части арендной платы в соответствии с условиями договора аренды с периодичностью, предусмотренной условиями соответствующего договора аренды. Признания актива в форме права пользования и обязательства по аренде по договорам краткосрочной аренды, аренды, в которой объект аренды имеет низкую стоимость, не производится. В отношении указанных договоров признаются только обязательства по уплате арендной платы (арендные платежи).
Арендный платеж по постоянной части арендной платы ( ) в течение расчетного периода начисляется:
- в каждую дату определения СЧА; и
- в дату возникновения обязательства по уплате постоянной части арендной платы согласно условиям договора аренды,
Где:
По состоянию на каждую дату начисления арендного платежа по постоянной части арендной платы (АП), а также в каждую из дат:
- дату оплаты (в том числе частичной оплаты) постоянной части арендной платы за соответствующий расчетный период;
- возникновения переплаты постоянной части арендной платы за соответствующий расчетный период по иным основаниям,
В том случае если Задолженность за расчетный период принимает положительное значение, признается дебиторская задолженность по авансам по постоянной части арендной платы за соответствующий расчетный период. В том случае если Задолженность за расчетный период принимает отрицательное значение, признается кредиторская задолженность по уплате постоянной части арендной платы за соответствующий расчетный период (в абсолютном значении). Справедливая стоимость дебиторской задолженности по авансам по постоянной части аренды за соответствующий расчетный период или кредиторской задолженности по уплате постоянной части арендной платы за соответствующий расчетный период оценивается в сумме остатка (в абсолютном значении) на текущую дату определения СЧА. Если сумму арендного платежа по постоянной части арендной платы ( ) невозможно надежно определить исходя из условий договора аренды, в целях определения суммы арендного платежа по постоянной части арендной платы ( ) допустимо применять методы аппроксимации. Дебиторская задолженность по авансам по постоянной части аренды за соответствующий расчетный период (кредиторская задолженность по уплате постоянной части арендной платы за соответствующий расчетный период) прекращает признаваться:
- в дату полного списания Задолженности за расчетный период (до нуля);
- в дату передачи прав и обязательств по договору аренды (прекращение признания задолженности осуществляется в соответствующей части);
- в дату ликвидации контрагента согласно информации, раскрытой в официальном доступном источнике (в том числе записи в ЕГРЮЛ о ликвидации контрагента);
- в дату прекращения прав и обязательств по договору аренды по иным основаниям, предусмотренным законодательством или договором аренды.
2.7.3.1. Аренда земельного участка, на котором расположено недвижимое имущество - актив ПИФ.
Если характеристики соответствующего земельного участка, на котором расположено недвижимое имущество - актив ПИФ, в частности, его границы, и (или) условия договоров, на основании которых осуществляется использование такого участка, не предполагают, что имущественные права на него могут генерировать самостоятельную экономическую выгоду или быть предметом сделки отдельно от расположенного на нем здания (строения, сооружения), а также если стоимость имущественных прав на такой земельный участок учтена оценщиком в составе справедливой стоимости недвижимого имущества – актива ПИФ, расположенного на таком земельном участке, то актив в форме права пользования таким земельным участком и обязательство по аренде такого земельного участка не признаются. В отношении такого договора аренды земельного участка признается обязательство по уплате арендной платы (применяются положения пункта 2.7.2). В иных случаях к договорам аренды земельного участка, на котором расположено недвижимое имущество – актив ПИФ, применяются положения подпункта 2.7.3.2.
2.7.3.2. Аренда иных объектов аренды. Актив в форме права пользования признается в дату классификации соответствующего договора аренды в качестве прочего договора аренды в соответствии с подпунктом 2.7.1.1. Актив в форме права пользования прекращает признаваться в наиболее раннюю из дат:
- в дату возврата арендодателю объекта аренды;
- в случае реализации из состава имущества ПИФ недвижимости, находящейся на земельном участке, не принадлежащем владельцам инвестиционных паев ПИФ на праве общей долевой собственности – в дату государственной регистрации права собственности (права общей долевой собственности) на недвижимость за приобретателем;
- в дату передачи (перехода) прав и обязательств по договору аренды третьему лицу;
- в дату ликвидации контрагента согласно информации, раскрытой в официальном доступном источнике (в том числе записи в ЕГРЮЛ о ликвидации контрагента);
- в дату прекращения договора аренды по иным основаниям предусмотренным законом или на основании договора.
- в дату погашения всех арендных платежей по договору аренды, арендатором по которому является УК Д.У. ПИФ,
- при условии погашения арендных платежей в соответствующей части – в наиболее
раннюю из дат:
- в дату возврата арендодателю объекта аренды;
- в случае реализации из состава имущества ПИФ недвижимости, находящейся на земельном участке, не принадлежащем владельцам инвестиционных паев ПИФ на19 праве общей долевой собственности – в дату государственной регистрации права собственности (права общей долевой собственности) на недвижимость за приобретателем;
- в дату передачи (перехода) прав и обязательств по договору аренды третьему лицу, - а также независимо от остатка задолженности по уплате арендных платежей:
- в дату ликвидации контрагента согласно информации, раскрытой в официальном доступном источнике (в том числе записи в ЕГРЮЛ о ликвидации контрагента);
- в дату полного прекращения обязательств по договору аренды по иным основаниям.
В расчет справедливой стоимости обязательства по аренде включаются непогашенные арендные платежи за весь срок аренды, определенный в соответствии с подпунктом 2.7.1.2. В целях расчета справедливой стоимости обязательства по аренде датой погашения денежного потока считается дата, соответствующая дате окончания предельного срока, установленного договором аренды для оплаты соответствующего денежного потока.
К арендным платежам относятся:
а) арендные платежи по постоянной части арендной платы;
б) переменные арендные платежи, которые зависят от индекса или ставки;
в) суммы, которые, как ожидается, будут уплачены арендатором по гарантиям ликвидационной стоимости;
г) цена исполнения опциона на покупку, если имеется достаточная уверенность в том, что арендатор исполнит этот опцион (оценивается управляющей компанией и доводится до сведения специализированного депозитария в форме мотивированного суждения).
Если в соответствии с условиями договора аренды величина арендных платежей по постоянной части арендной платы зависит от кадастровой стоимости арендуемого земельного участка, то в целях определения суммы денежных потоков (
В качестве ставок дисконтирования используются средневзвешенные процентные ставки в целом по Российской Федерации (по развернутой шкале), раскрываемые на официальном сайте на официальном сайте Банка России за месяц, наиболее близкий к дате оценки, по кредитам, предоставленным кредитными организациями нефинансовым организациям, в той же валюте, что и оцениваемое обязательство по аренде, со сроком предоставления, попадающим в тот же интервал, что и срок, оставшийся на дату оценки до погашения каждого соответствующего денежного потока по оцениваемому обязательству по аренде. Ставки корректируются на изменение ключевой ставки в соответствии с подходом, описанным в пункте 4 Приложения 2.
2.8. Справедливая стоимость производных финансовых инструментов и контрактов/опционных договоров.
2.8.1. Биржевые производные финансовые инструменты.
Биржевой производный финансовый инструмент признается в дату заключения соответствующего контракта на бирже согласно отчету брокера или биржи.
Прекращение признания биржевого производного финансового инструмента происходит:
- в случае исполнения контракта;
- в результате возникновения встречных обязательств по контракту с такой же спецификацией, т.е. заключение офсетной сделки;
- по иным основаниям, указанным в Правилах клиринга, в установленном ими порядке.
Основным рынком биржевого производного финансового инструмента является биржа, на которой управляющей компанией Д.У. ПИФ был заключен соответствующий контракт. Справедливой стоимостью биржевого производного финансового инструмента является его последняя расчетная цена (теоретическая цена), определяемая биржей, на которой был заключен соответствующий контракт. В случае, если контракт является маржируемым и управляющей компанией Д.У. ПИФ на дату оценки отражены все расчеты по вариационной марже, справедливая стоимость биржевого производного финансового инструмента равна нулю. 2.8.2. Внебиржевые производные финансовые инструменты и контракты/опционные договоры (далее - ВПФИ). Во избежание сомнений положения пунктов 2.8.2, 2.8.3, 2.8.4 Стандарта также распространяются на соглашения о предоставлении опциона на заключение договора (опцион на заключение договора), заключенные в соответствии с статьей 429.2 ГК РФ, и опционные договоры, заключенные в соответствии с статьей 429.3 ГК РФ, в том числе предметом которых являются доли в уставных капиталах хозяйственных обществ, зарегистрированных в органе, осуществляющем государственную регистрацию юридических лиц, в порядке, установленном федеральным законом о государственной регистрации юридических лиц, и (или) права участия в уставных капиталах иностранных коммерческих организаций.
ВПФИ (включая случаи, когда встроенный ВПФИ можно отделить от основного договора) признается:
- для опционных договоров – в дату заключения, когда владелец опциона или выпускающее его лицо становится стороной по ВПФИ;
- для прочих ВПФИ – в дату их заключения, когда УК Д.У. ПИФ становится стороной по ВПФИ.
- получением согласий/разрешений государственных, региональных, муниципальных и иных органов власти, регулирующих органов;
- достижением либо не достижением определенных финансовых показателей или финансового состояния (в том числе обществом, акции или доли которого являются предметом сделки, а также сторонами сделки);
- исполнением либо не исполнением обязательств, определенных в условиях опционного договора (опциона на заключение договора), определенным лицом;
- достижением либо не достижением определенных уровней значениями индексов, котировками ценных бумаг, ценами на товары, валютными курсами, процентными ставками, инфляцией, официальной статистикой и иными показателями, предусмотренными условиями соответствующего договора;
- принятием корпоративных решений (например, назначение ЕИО, реорганизация, решение о распределении прибыли и т.д.);
- заключением связанных договоров (залогов, кредитов, встречных ВПФИ и т.д.);
- наступлением (выполнением) любых иных фактических и (или) юридических действий, событий и обстоятельств, не описанных выше, но предусмотренных условиями соответствующего опциона на заключение договора (опционного договора), от которых зависит возможность реализации прав (акцепт) и относительно которых неизвестно, наступят (будут выполнены) они или нет,
такой ВПФИ признается с даты наступления (выполнения) соответствующих обстоятельств, событий или условий. Прекращение признания ВПФИ происходит:
- в дату исполнения ВПФИ;
- в дату истечения срока ВПФИ;
- в результате возникновения встречных обязательств в связи с заключением офсетной сделки;
- в результате реализации условий досрочного прекращения сделки (например, превышение барьера, нарушение ковенант);
- в дату переуступки прав требования по договору ВПФИ;
- в случае наступления (возникновения) событий, обстоятельств, условий, препятствующих реализации прав (акцепту) по ВПФИ, включая, но не ограничиваясь: отказ в выдаче согласий/разрешений государственными, региональными, муниципальными и иными органами власти, регулирующими органами, вступление в силу судебных актов, не принятие соответствующих корпоративных решений, а также иных подобных событий, обстоятельств и условий, препятствующих реализации прав (акцепту) по ВПФИ; при этом если устранение причин, повлекших наступление (возникновение) событий, препятствующих реализации прав (акцепту) по ВПФИ, а также наступление самих обуславливающих событий является возможным, то признание ВПФИ может быть продолжено на основании мотивированного суждения управляющей компании;
- в случае наступления форс-мажорных обстоятельств, не предусмотренных договором, которые препятствуют исполнению ВПФИ.
Маржируемые ВПФИ:
В случае, если ВПФИ является маржируемым (далее - Маржируемый ВПФИ) и управляющей компанией Д.У. ПИФ на дату оценки отражены все расчеты по вариационной марже, справедливая стоимость Маржируемого ВПФИ равна нулю.
В случае, если расчеты по вариационной марже полностью не отражены, то оценка производится следующим образом:
- Маржируемый ВПФИ представляет собой актив, если его нетто расчетных требований и обязательств по вариационной марже на дату оценки, определяемое в порядке, установленном договором, превышает нетто расчетных требований и обязательств по завершенным расчетам вариационной маржи. Справедливая стоимость Маржируемого ВПФИ определяется в размере такого превышения.
- Маржируемый ВПФИ представляет собой обязательство, если его нетто требований и обязательств по завершенным расчетам вариационной маржи превышает нетто расчетных требований и обязательств по вариационной марже на дату оценки, определяемое в порядке, установленном в договоре. Справедливая стоимость Маржируемого ВПФИ определяется в размере такого превышения.
ВПФИ представляет собой актив, если совокупная стоимостная оценка содержащихся в соответствующем договоре требований к контрагенту превышает совокупную стоимостную оценку обязательств перед контрагентом по этому договору и ожидается увеличение будущих экономических выгод в результате получения активов (денежных средств или иного имущества), обмена активов или погашения обязательств на потенциально выгодных для Фонда условиях. Справедливая стоимость ВПФИ определяется в размере такого превышения. ВПФИ представляет собой обязательство, если совокупная стоимостная оценка содержащихся в соответствующем договоре обязательств Фонда перед контрагентом превышает совокупную стоимостную оценку требований к контрагенту по этому договору и Фонд ожидает уменьшение будущих экономических выгод в результате выбытия активов (денежных средств или иного имущества), обмена активов или погашения обязательств на потенциально невыгодных для Фонда условиях. Справедливая стоимость ВПФИ определяется в размере такого превышения. При этом справедливая стоимость базового актива определяется в соответствии с Правилами определения СЧА. Управляющая компания может использовать свои модели оценки в зависимости от типов ВПФИ, базовых активов и других условий сделок на основе рыночных данных, прописанных в правилах.
Премия:
Для случаев заключения опционных договоров или заключения опционов на заключение договора – причитающаяся (подлежащая оплате) премия признается в качестве дебиторской (прочей кредиторской) задолженности в дату признания ВПФИ, если оплата премии не произведена до даты признания ВПФИ. Если премия по опционному договору (опциону на заключение договора) была оплачена до даты признания ВПФИ, то поступившая (уплаченная за счет имущества Фонда) премия относится на доходы (расходы) в дату ее оплаты. В случае продажи (приобретения) ВПФИ причитающаяся (подлежащая оплате) премия признается в качестве дебиторской (прочей кредиторской) задолженности в дату заключения сделки по продаже (приобретению) ВПФИ. В случае продажи (приобретения) ВПФИ и отсутствия условия уплаты премии (или безвозмездности предоставления права по опциону) премия не признается. Справедливая стоимость дебиторской задолженности по причитающейся премии по ВПФИ оценивается в порядке, предусмотренном пунктом 2.3.4 Стандарта. Справедливая стоимость кредиторской задолженности по подлежащей оплате премии по ВПФИ оценивается в порядке, предусмотренном пунктом 2.10 Стандарта, или в ином порядке, который может быть предусмотрен управляющей компанией в Правилах определения СЧА. Дебиторская задолженность по причитающейся премии (прочая кредиторская задолженность по подлежащей оплате премии) по ВПФИ прекращает признаваться в наиболее раннюю из дат:
- в дату исполнения обязательств по оплате премии;
- в дату ликвидации контрагента согласно выписке из ЕГРЮЛ;
- в дату ликвидации (исключения) иностранного контрагента из реестра коммерческих организаций или иного схожего по смыслу реестра, предусмотренного законодательством страны, в которой был зарегистрирован иностранный контрагент;
- в дату уступки прав по ВПФИ (если передача прав/обязательств по уплате премии следует из условий соответствующей сделки);
- в дату прочего прекращения права требования (обязательства) по оплате премии в соответствии с действующим законодательством или договором.
2.8.3. Особые условия переходного периода.
Если на дату начала применения Правил определения СЧА, приведенных в соответствие с настоящим разделом Стандарта, управляющая компания осуществляла признание действующих ВПФИ в соответствии с иными ранее действующими принципами признания, то управляющая компания продолжает признавать такие ВПФИ до наступления оснований прекращения признания, установленных настоящим разделом Стандарта. В противном случае управляющая компания составляет мотивированное суждение о прекращении признания с изложением соответствующих аргументов, согласованное со специализированным депозитарием. Если на дату начала применения Правил определения СЧА, приведенных в соответствие с настоящим разделом Стандарта, управляющая компания не осуществляла признание действующих ВПФИ в соответствии с иными ранее действующими принципами признания, то управляющая компания продолжает не признавать такие ВПФИ до наступления наиболее раннего из событий:
- начало периода времени, в котором может быть реализовано право одной стороны заключить договор (акцепт) или право требовать одной стороной от другой совершения предусмотренных опционным договором действий;
- наступление обусловливающих событий (в случае их наличия в договоре).
В противном случае управляющая компания составляет мотивированное суждение о начале признания с изложением соответствующих аргументов, согласованное со специализированным депозитарием. В случае заключения дополнительного соглашения, за исключением изменения только стороны сделки по причине реорганизации стороны сделки, управляющая компания осуществляет признание по основаниям настоящего Стандарта как новой сделки.
2.8.4. Особые условия определения справедливой стоимости ВПФИ.
Управляющая компания должна либо составить мотивированное суждение, либо привлечь оценщика для оценки справедливой стоимости ВПФИ (либо отдельных параметров ВПФИ) в тех случаях, когда значение цены исполнения опциона неизвестно на дату расчета СЧА и для оценки значения цены опциона требуется применить методы прогнозирования, а также в иных случаях, которые могут быть установлены управляющей компанией в Правилах определения СЧА исходя из специфики условий заключаемых ВПФИ. В случае возникновения признаков обесценения контрагента по ВПФИ, за исключением возникновения дефолта или событий, приравненных к дефолту, управляющая компания вправе скорректировать справедливую стоимость ВПФИ на основании мотивированного суждения. При необходимости управляющая компания вправе оценить справедливую стоимость ВПФИ с учетом возникшего признака обесценения на основании отчета оценщика, подготовленного в максимально короткие сроки с даты выявления соответствующего признака обесценения. В случае дефолта контрагента по ВПФИ или возникновения события, приравненного к дефолту, в отношении контрагента по ВПФИ, управляющая компания обязана скорректировать справедливую стоимость ВПФИ на основании мотивированного суждения управляющей компании либо при необходимости оценить справедливую стоимость ВПФИ на основании отчета оценщика. В целях мониторинга возникновения признаков обесценения контрагента, дефолта и событий, приравненных к дефолту, а также выхода контрагента из состояния обесценения или дефолта, применяется перечень признаков и событий, установленный в Приложении № 5 к Стандарту.
2.9. Список активов, оцениваемых на основании данных отчета оценщика.
К активам, оцениваемым на основании данных отчета оценщика, могут относиться:
- Доли в уставных капиталах российских обществ с ограниченной ответственностью
- Права участия в уставных капиталах иностранных коммерческих организаций (за исключением ценных бумаг)
- Недвижимое имущество
- Имущественные права из договоров участия в долевом строительстве
- Имущественные права, связанные с возникновением права собственности на объект недвижимости (его часть) после завершения его строительства (создание) и возникающие из договора, стороной по которому является юридическое лицо, которому принадлежит право собственности или иное вещное право, включая право аренды, на земельный участок, выделенный в установленном порядке для целей строительства объекта недвижимости, и (или) имеющим разрешение на строительство объекта недвижимости на указанном земельном участке, либо юридическое лицо, инвестирующее денежные средства или иное имущество в строительство объекта недвижимости
- Имущественные права из договоров, на основании которых осуществляется строительство (создание) объектов недвижимого имущества (в том числе на месте сносимых объектов недвижимости) на выделенном в установленном порядке для целей строительства (создания) указанного объекта недвижимости земельном участке, который (право аренды которого) составляет активы ПИФ
- Имущественные права из договоров, на основании которых осуществляется реконструкция объектов недвижимости;
- Проектная документация для строительства или реконструкции объекта недвижимости;
- Художественные ценности;
- Ценные бумаги и финансовые инструменты, по которым невозможны иные способы оценки;
- Иное имущество, предусмотренное в Правилах определения СЧА. Недопустимо при определении справедливой стоимости нефинансовых активов учитывать связанные с данными активами обязательства акционерных и паевых инвестиционных фондов (отражать на нетто-основе). Такие активы и обязательства необходимо отражать отдельно друг от друга, принимая во внимание их характеристику как экономических ресурсов или обязанностей организации.
2.10. Справедливая стоимость обязательств (кредиторская задолженность), включается в расчет СЧА в размере ее остатка на дату определения СЧА.
Если точная величина обязательства по договору не может быть надежно определена на дату определения СЧА, то используются способы аппроксимации величин, при возможности их применения к определенному виду кредиторской задолженности. Способы аппроксимации должны быть указаны в Правилах определения СЧА. Справедливая стоимость денежных обязательств из кредитных договоров и договоров займа, полученных в российских рублях, складывается из суммы оценок всех задолженностей по договору (финансовых потоков), то есть всех платежей, которые управляющая компания Д.У. ПИФ должна осуществить в пользу кредитора/заимодавца, включая суммы основного долга и процентные выплаты по нему, накопленные по состоянию на дату оценки. Все суммы округляются до двух знаков после запятой. Справедливая стоимость денежных обязательств из кредитных договоров и договоров займа, полученных в иностранной валюте, определяется путем суммирования оценок всех задолженностей по договору (финансовых потоков) в валюте полученного кредита/займа и конвертации в валюту определения СЧА Фонда в соответствии с порядком, установленным Правилами определения СЧА и округлением полученной справедливой стоимости до двух знаков после запятой. Правилами определения СЧА по согласованию со Специализированным депозитарием могут быть предусмотрены случаи оценки отдельных обязательств по данным отчета оценщика в ситуациях, когда иным способом оценить обязательство не представляется возможным.
2.11. Порядок корректировки стоимости активов, перечисленных в п. 2.3 – 2.7 настоящего Стандарта (далее – Тестируемые активы):
Анализу на корректировку стоимости (обесценение) подлежат Тестируемые активы, составляющие имущество ПИФ. Тестирование всего портфеля на обесценение проводится не реже, чем на каждую дату определения СЧА, установленную нормативными актами Банка России для ПИФ и Правилами определения СЧА. Тестируемые активы подвергаются обесценению в соответствии с Приложением № 5 к настоящему Стандарту (с приложениями). Управляющая компания может применять методы (модели), установленные Приложением № 5 к настоящему Стандарту (с приложениями), или иные методы (модели), установленные в Правилах определения СЧА и согласованные со специализированным депозитарием.
Справедливая стоимость признается равной 0 (Нулю):
- в случае возбуждении процедуры банкротства в отношении эмитента (лица, обязанного по ценной бумаге), контрагента, дебитора – с даты официального сообщения о банкротстве:
- для долевых ценных бумаг и депозитарных расписок эмитента, находящегося в состоянии банкротства, за исключением случаев наличия публичных котировок этих бумаг либо отчета оценщика на дату после начала процесса банкротства и не ранее 6 месяцев до момента расчета СЧА.
- для требований на выплату объявленных дивидендов.
В иных случаях возникновения признаков обесценения ценные бумаги оцениваются в соответствии с методиками, предусмотренными в настоящих Стандартах в соответствии с Приложением 5. В случае, если справедливая стоимость актива определялась на основании отчета оценщика, составленного менее чем за 6 месяцев (менее чем за один год, если такая периодичность оценки предусмотрена Правилами определения СЧА) до даты возникновения признаков обесценения актива, при возникновении события, ведущего к обесценению актива, управляющая компания вправе применять такой отчет с обязательной корректировкой стоимости, указанной в отчете, в соответствии с методом корректировки справедливой стоимости, предусмотренной настоящим пунктом. В максимально короткие сроки отчет оценщика необходимо переделать. 2.12. В случае, если по активам, предусмотренным пунктом 2.2. настоящего Стандарта, выявлены признаки обесценения и справедливая стоимость по указанным активам оценивается с применением моделей оценки 2 и 3 уровня иерархии (в соответствии с Приложением № 1 к настоящему Стандарту), управляющая компания должна использовать методы корректировки, в том числе вправе использовать методы корректировки, предусмотренные в настоящем Стандарте и приложениях к нему.
2.13. Не допускается использование экспертного (мотивированного) суждения, не описанного в виде алгоритма (модели) в Правилах определения СЧА, согласованных со специализированным депозитарием.
Под алгоритмом (моделью) в целях настоящего пункта понимается описанный в Правилах определения СЧА порядок составления управляющей компанией экспертного (мотивированного) суждения. Такой порядок, например, может содержать перечень возможных источников информации для принятия экспертного (мотивированного) суждения.
2.14. Правила определения СЧА могут содержать перечень существенных фактов, наступление которых влияет на справедливую стоимость актива. В случае, если правила определения СЧА содержат указанный выше перечень, то должен быть предусмотрен порядок информирования специализированного депозитария о наступлении существенного факта, а также порядок обесценения актива.
2.15. Настоящий Стандарт и Приложения к настоящему Стандарту содержат возможные методики и модели, которые предусматривают различные варианты определения справедливой стоимости активов, входящих в состав паевых инвестиционных фондов, но не ограничивают возможные варианты определения справедливой стоимости активов, которые вправе использовать управляющая компания при подготовке и согласовании со специализированным депозитарием Правил определения СЧА.
Глава 3. КРИТЕРИИ ПРИЗНАНИЯ (ПРЕКРАЩЕНИЯ ПРИЗНАНИЯ) АКТИВОВ И ОБЯЗАТЕЛЬСТВ.
3.1. Активы (обязательства) принимаются к расчету стоимости чистых активов в случае их соответствия критериям признания в соответствии с Международными стандартами финансовой отчетности, введенными в действие на территории Российской Федерации.
3.2. Критерии признания и прекращения признания активов и обязательств устанавливаются в Правилах СЧА (в соответствии с настоящим Стандартом и Приложением № 3 к нему).
3.3. Правилами определения СЧА управляющей компании могут быть установлены дополнительные критерии признания и прекращения признания активов и обязательств, помимо установленных настоящим Стандартом, в том числе с применением обоснованного экспертного мнения управляющей компании.
Глава 4. ПОРЯДОК РАСЧЕТА ВЕЛИЧИНЫ РЕЗЕРВА
Резерв на выплату вознаграждения формируется отдельно в части резерва на выплату вознаграждения управляющей компании и в части резерва на выплату совокупного вознаграждения специализированному депозитарию, аудиторской организации, оценщику ПИФ, бирже и лицу, осуществляющему ведение реестра владельцев инвестиционных паев ПИФ (далее – резерв на выплату прочих вознаграждений). Резерв на выплату вознаграждений начисляется и отражается в составе обязательств ПИФ в течение отчетного года с наиболее поздней из двух дат – даты начала календарного года или даты завершения (окончания) формирования - до:
даты окончания календарного года;
даты возникновения основания для прекращения ПИФ (не включая дату возникновения основания для прекращения ПИФ) в части резерва на выплату вознаграждения управляющей компании;
наиболее поздней из двух дат при прекращении - даты окончания приема требований кредиторов ПИФ или даты окончания реализации всего имущества ПИФ.
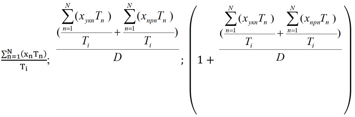
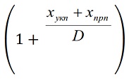
Резерв на выплату вознаграждений, определенный исходя из размера вознаграждения, предусмотренного правилами доверительного управления ПИФ, в течение отчетного года начисляется нарастающим итогом и отражается в составе обязательств ПИФ на каждую дату определения СЧА, предусмотренную Правилами определения стоимости чистых активов. Правила определения СЧА закрытых паевых инвестиционных фондов, инвестиционные паи которых ограничены в обороте, допускают, что резерв на выплату вознаграждения может не включаться в состав обязательств. В состав обязательств не включается резерв на выплату вознаграждения, размер которого зависит от результатов инвестирования. Резерв на выплату вознаграждения управляющей компании и резерв на выплату прочих вознаграждений, в случае, если размер таких вознаграждений определяется исходя из среднегодовой СЧА (далее – СГСЧА), рассчитываются отдельно по каждой части резерва в следующем порядке:
на первый рабочий день отчетного года:
Значение
Округление при расчете
на другие дни определения СЧА (за исключением первого рабочего дня отчетного года):
Округление при расчете
Размер сформированного резерва на выплату вознаграждения уменьшается на суммы начисленного в течение отчетного года вознаграждения управляющей компании, специализированному депозитарию, аудиторской организации, оценщику, и лицу, осуществляющему ведение реестра владельцев инвестиционных паев ПИФ. Не использованный в течение отчетного года резерв на выплату вознаграждения подлежит восстановлению по окончанию отчетного года, но не позднее первого рабочего дня года, следующего за отчетным, и признается в составе прочих доходов. Указанное восстановление отражается при первом определении СЧА в году следующем за отчетным годом.
Глава 5. ПОРЯДОК ВСТУПЛЕНИЯ В СИЛУ СТАНДАРТА
5.1. Настоящий Стандарт действует с 1 мая 2025 года. Деятельность управляющих компаний должна быть приведена в соответствие с требованиями Стандарта не позднее 31 октября 2025 года.
5.2. Правилами определения СЧА могут быть установлены иные, чем предусмотренные главой 2 и Приложениями к настоящему Стандарту методы определения справедливой стоимости активов.
5.3. Правилами определения СЧА могут быть установлены иные, чем предусмотренные главой 3, критерии признания и прекращения признания активов и обязательств.
5.4. Правилами определения СЧА может быть установлен иной, чем предусмотренный главой 4, порядок расчета величины резерва.
5.5. В случаях, предусмотренных пунктами 5.2, 5.3 и 5.4. настоящего Стандарта, управляющая компания обязана после согласования Правил определения СЧА (изменений и дополнений в Правила определения СЧА) со специализированным депозитарием уведомить НАУФОР не позднее 10 (десяти) дней с даты соответствующего согласования о применении иных, чем предусмотрено настоящим Стандартом, методик.
5.6. В случае, если в соответствии с Указанием изменения в Правила определения СЧА, приводящие в соответствие с настоящим Стандартом, не могут быть внесены управляющей компанией до даты, указанной в пункте 5.1, управляющая компания приводит Правила определения СЧА в соответствие в течение одного месяца с даты, когда внесение таких изменений в Правила расчета СЧА становится возможным.
